- 产品介绍
4-2×72型离心风机用途:
可输送空气和其他不自燃的、对人体无害的、对钢材无腐蚀性的气体。气体内不允许有粘性物质,所含尘土及硬质颗粒物不大于150mg/m3。气体温度不得超过80℃。
4-2×72型离心风机型式:
1、风机可制成右旋或左旋两种型式,风机的出口位置以机壳出风口角度表示,有0°、90°、180°
2、风机采用双吸入进气,机号有6E、8E、10E、12E、14E、16E、18E、20E。(传动方式为E)
4-2×72型离心风机结构:
风机由叶轮部、机壳部、进风口、轴承座、电动机等组成
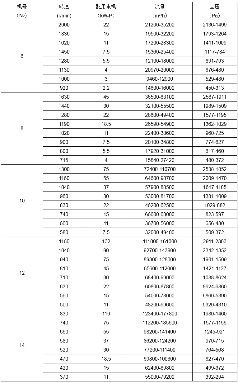
4-2×72型离心风机型号参数
















